Beranda
/ Jumlah Dan Selisih Sinus Dan Cosinus Contoh Soal : Rumus Dan Contoh Soal Identitas Trigonometri Lengkap : Titik p dan q dinyatakan dengan kordinat polar.
Jumlah Dan Selisih Sinus Dan Cosinus Contoh Soal : Rumus Dan Contoh Soal Identitas Trigonometri Lengkap : Titik p dan q dinyatakan dengan kordinat polar.
Jumlah Dan Selisih Sinus Dan Cosinus Contoh Soal : Rumus Dan Contoh Soal Identitas Trigonometri Lengkap : Titik p dan q dinyatakan dengan kordinat polar.. Misalnya kita menentukan nilai suatu sudut dengan menggunakan rumus jumlah agar memudahkan kita dalam. Pada bahan kali ini akan memkoreksi wacana jumlah dan selisih dua sudut dalam trigonometri yaitu pada sinus, cosinus, dan tangen. Contoh soal & pembahasan trigonometri kelas x/10. Jika diketahui besar sudut α sebesar 75° dan besar sudut β sebesar 15°. Contoh soal aturan sinus dan juga cosinus 2 lengkap bersekolah co id.
Andi sedang mengukur mainan segitiganya yang tiap sudutnya dikodekan dengan a, b, dan c, kemudian. Tutorial trigonometri menghitung pengurangan nilai sinus dan cosinus. Hitunglah dengan rumus cosinus jumlah dan selisih dua sudut berikut: Disertai contoh soal penggunaan rumus jumlah dan selisih dua sudut. Contoh contoh soal dan pembahasan trigonometri untuk sma.
Contoh Soal Jumlah Dan Selisih Sinus Dan Cosinus Berbagi Contoh Soal from reader021.docslide.net Tutorial trigonometri menghitung pengurangan nilai sinus dan cosinus. Contoh soal dan pembahasan rabat (diskon). Latihan pendidikan matematika pasca sarjana. Misalnya kita menentukan nilai suatu sudut dengan menggunakan rumus jumlah agar memudahkan kita dalam. Contoh soal & pembahasan trigonometri kelas x/10. Fungsi dari rumus jumlah dan selisih dua sudut sinus, cosinus, dan rumus jumlah sudut cosinus. Rpp jumlah dan selisih sinus cosinusfull description. Tahukah kalian bahwa sinus dan cosinus memiliki aturan yang khusus dan diterapkan dalam segitiga?
Contoh soal & pembahasan trigonometri kelas x/10.
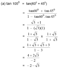
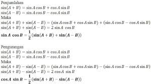
Besar sudut poq = 180o trigonometri adalah sebuah cabang matematika yang berhadapan dengan sudut segitiga dan fungsi trigonometrik seperti sinus, cosinus dan tangen. Selain itu rumus tersebut juga dapat digunakan untuk menyederhanakan. Rumus penjumlahan dan pengurangan sinus dan cosinus. Tutorial trigonometri menghitung pengurangan nilai sinus dan cosinus. Contoh soal aturan sinus dan cosinus 1. Aturan cosinus aturan sinus contoh soal. Rumus jumlah dan selisih dua sudut trigonometri. Jumlah merupakan suatu penjumlahan dari kedua sudut. Hitunglah dengan rumus cosinus jumlah dan selisih dua sudut berikut: Titik koordinat a dan b di atas diperoleh berdasarkan fungsi sinus dan cosinus. Rumus cosinus dari jumlah dan selisih dua sudut di atas dapat digunakan untuk menentukan nilai fungsi trigonometri dari sudut tertentu (nilai fungsi yang tidak ditulis dalam bentuk desimal, melainkan dalam bentuk akar). Latihan pendidikan matematika pasca sarjana. Contoh soal trigonometri jumlah selisih dua sudut setelah pada artikel sebelumnya kita sudah pernah memberikan materi dan rumus trigonometri jumlah dan contoh soal aturan sinus cosinus luas segitiga trigonometri beserta kunci jawaban dan pembahasannya pada dasarnya segitiga terdiri dari.
Latihan pendidikan matematika pasca sarjana. Rumus perkalian sinus dan cosinus. Tahukah kalian bahwa sinus dan cosinus memiliki aturan yang khusus dan diterapkan dalam segitiga? Hitunglah dengan rumus cosinus jumlah dan selisih dua sudut berikut: Misalnya kita menentukan nilai suatu sudut dengan menggunakan rumus jumlah agar memudahkan kita dalam.
Smart Solution Un Matematika Sma 2013 Skl 4 3 Jumlah Selisih Sinus K from image.slidesharecdn.com Titik p dan q dinyatakan dengan kordinat polar. Perhatikan contoh soal menggunakan bentuk perkalian sinus dan cosinus berikut: Rumus perkalian sinus dan cosinus. Perkalian sinus dan kosinus sebelumnya bacalah terlebih dahulu. Menghitung tinggi pohon menggunakan rumus identitas trigonometri. Rpp jumlah dan selisih sinus dan cosinus. Tutorial trigonometri menghitung pengurangan nilai sinus dan cosinus. 5 contoh soal selisih sudut.
Hitunglah dengan rumus cosinus jumlah dan selisih dua sudut berikut:
14 nov 2019 rumus jumlah dan selisih sinus cosinus dari berbagai rumus sebelum melanjutkan ke soal saya akan mereview beberapa materi. 5 contoh soal selisih sudut. Rpp jumlah dan selisih sinus cosinusfull description. Disertai contoh soal penggunaan rumus jumlah dan selisih dua sudut. Rumus penjumlahan dan pengurangan sinus dan cosinus. Besar sudut poq = 180o trigonometri adalah sebuah cabang matematika yang berhadapan dengan sudut segitiga dan fungsi trigonometrik seperti sinus, cosinus dan tangen. Sin a + sin b = 2 sin 1/2 (a + b) cos 1/2(a. Aturan cosinus aturan sinus contoh soal. Rumus jumlah dan selisih dua sudut beserta contoh soal. Sederhanakanlah bentuk berikut ini sebagai jumlah atau selisih sinus atau kosinus. Pada materi baris dan deret aritmatika dan geometri terdapat materi aplikasi deret aritmatika dan geometri.sebutkan 4 perhitungan pada aplikasi deret … aritmatika buatlah data dalam bentuk salah satu diagram seperti contoh,kemudian buatlah minimal tiga buah analisis dari data yang kamu buat itu. Sehingga kita dapat menentukan nilai cosinus dari 15° contoh 2: Andi sedang mengukur mainan segitiganya yang tiap sudutnya dikodekan dengan a, b, dan c, kemudian.
Selain itu rumus tersebut juga dapat digunakan untuk menyederhanakan. Pengertian jumlah dan selisih sinus, cosinus, dan tangen. Sin a + sin b = 2 sin 1/2 (a + b) cos 1/2(a. Titik koordinat a dan b di atas diperoleh berdasarkan fungsi sinus dan cosinus. Tulislah persamaan berikut ke dalam persamaan.
Rangkuman Contoh Soal Pembahasan Trigonometri from tanya-tanya.com Pada materi baris dan deret aritmatika dan geometri terdapat materi aplikasi deret aritmatika dan geometri.sebutkan 4 perhitungan pada aplikasi deret … aritmatika buatlah data dalam bentuk salah satu diagram seperti contoh,kemudian buatlah minimal tiga buah analisis dari data yang kamu buat itu. 14 nov 2019 rumus jumlah dan selisih sinus cosinus dari berbagai rumus sebelum melanjutkan ke soal saya akan mereview beberapa materi. Misalnya kita menentukan nilai suatu sudut dengan menggunakan rumus jumlah agar memudahkan kita dalam. Jumlah dan selisih sudut docx. Jika diketahui besar sudut α sebesar 75° dan besar sudut β sebesar 15°. Aturan cosinus aturan sinus contoh soal. Pelajarilah contoh soal berikut untuk lebih memahami rumus perkalian cosinus dan cosinus. Diketahui sin a = 3/5, cos b = 5/13, dan a dan b merupakan sudut lancip.
Diketahui sin a = 3/5, cos b = 5/13, dan a dan b merupakan sudut lancip.
Titik p dan q dinyatakan dengan kordinat polar. Rumus perkalian sinus dan cosinus. Latihan pendidikan matematika pasca sarjana. Rumus perkalian sinus dan cosinus. Andi sedang mengukur mainan segitiganya yang tiap sudutnya dikodekan dengan a, b, dan c, kemudian. Rumus penjumlahan dan pengurangan sinus dan cosinus. Rumus jumlah dan selisih dua sudut beserta contoh soal. Rpp jumlah dan selisih sinus dan cosinus. Titik koordinat a dan b di atas diperoleh berdasarkan fungsi sinus dan cosinus. Rumus perkalian sinus dan cosinus penjumlahan pengurangan contoh soal jawaban jumlah selisih trigonometri matematika berikut ini adalah perkalian. Pada bahan kali ini akan memkoreksi wacana jumlah dan selisih dua sudut dalam trigonometri yaitu pada sinus, cosinus, dan tangen. Contoh soal & pembahasan trigonometri kelas x/10. Jika diketahui besar sudut α sebesar 75° dan besar sudut β sebesar 15°.
Berbagi
Posting Komentar
untuk "Jumlah Dan Selisih Sinus Dan Cosinus Contoh Soal : Rumus Dan Contoh Soal Identitas Trigonometri Lengkap : Titik p dan q dinyatakan dengan kordinat polar."
Posting Komentar untuk "Jumlah Dan Selisih Sinus Dan Cosinus Contoh Soal : Rumus Dan Contoh Soal Identitas Trigonometri Lengkap : Titik p dan q dinyatakan dengan kordinat polar."